Introduction
Radio waves and modulation techniques are fundamental concepts in the field of telecommunications and wireless communication. This article provides an in-depth exploration of these topics, offering university students a comprehensive understanding of how radio waves work and the various modulation techniques used to transmit information.
Radio Waves: The Basics
What Are Radio Waves?
Radio waves are a type of electromagnetic radiation with wavelengths ranging from 1 millimeter to 100 kilometers and frequencies between 3 kHz and 300 GHz. They are used extensively in communication systems to transmit data over long distances without the need for physical connections.
Properties of Radio Waves
- Frequency and Wavelength: The frequency of a radio wave is inversely proportional to its wavelength. Higher frequencies correspond to shorter wavelengths and vice versa.
- Speed: Radio waves travel at the speed of light (approximately 300,000 km/s) in a vacuum.
- Propagation: Radio waves can propagate through various mediums, including air, vacuum, and even solid objects, although their behavior varies depending on the medium.
How Radio Waves Are Generated
Radio waves are produced by accelerating electric charges, typically in antennas. When an alternating current (AC) flows through an antenna, it generates an oscillating electric and magnetic field, which radiates outwards as radio waves.
Modulation Techniques: An Overview
Modulation is the process of varying a carrier signal in order to transmit data. The carrier signal is usually a high-frequency sine wave, and the data signal (information) modulates the carrier to encode the information for transmission.
Types of Modulation
- Amplitude Modulation (AM)
- Principle: In AM, the amplitude of the carrier wave is varied in proportion to the data signal.
- Advantages: Simple to implement and demodulate.
- Disadvantages: Susceptible to noise and signal degradation.
- Frequency Modulation (FM)
- Principle: In FM, the frequency of the carrier wave is varied according to the data signal.
- Advantages: Higher resistance to noise and interference.
- Disadvantages: Requires a larger bandwidth compared to AM.
- Phase Modulation (PM)
- Principle: In PM, the phase of the carrier wave is varied in accordance with the data signal.
- Advantages: Efficient in terms of bandwidth usage.
- Disadvantages: More complex to implement and demodulate.
Detailed Analysis of Modulation Techniques
Amplitude Modulation (AM)
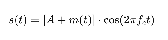
In AM, the amplitude of the carrier wave is modulated by the data signal. The mathematical representation of an AM signal can be expressed as:

where:
- ( s(t) ) is the modulated signal
- ( A ) is the amplitude of the carrier wave
- ( m(t) ) is the data signal (modulating signal)
- ( f_c ) is the carrier frequency
Applications of AM
- AM radio broadcasting
- Airband radio communication
- Two-way radio communication
Frequency Modulation (FM)
In FM, the frequency of the carrier wave is varied in proportion to the data signal. The FM signal can be represented as:

Applications of FM
- FM radio broadcasting
- Television sound transmission
- Two-way radio systems
Phase Modulation (PM)
In PM, the phase of the carrier wave is varied according to the data signal. The PM signal can be expressed as:

Applications of PM
- Digital signal processing
- Data communication systems
- Satellite communication
Comparative Analysis of Modulation Techniques
| Feature | Amplitude Modulation (AM) | Frequency Modulation (FM) | Phase Modulation (PM) |
|---|---|---|---|
| Susceptibility to Noise | High | Low | Moderate |
| Bandwidth Efficiency | Moderate | Low (requires more bandwidth) | High |
| Complexity | Low | Moderate | High |
| Applications | Radio broadcasting, aviation | Radio broadcasting, TV sound | Digital communication, satellites |
Practical Applications and Importance
Radio Broadcasting
AM and FM are the two primary methods used in radio broadcasting. AM is widely used for talk radio and news broadcasting, while FM is preferred for music due to its superior sound quality and resistance to interference.
Wireless Communication
Modulation techniques are crucial for wireless communication systems, including mobile phones, Wi-Fi, and satellite communication. Efficient modulation ensures reliable data transmission and optimal use of available bandwidth.
Data Communication
In data communication, especially in digital systems, advanced modulation techniques like Quadrature Amplitude Modulation (QAM) and Phase Shift Keying (PSK) are used. These techniques offer higher data rates and improved spectral efficiency.
Conclusion
Understanding radio waves and modulation techniques is essential for anyone studying telecommunications or wireless communication. These concepts form the foundation of how information is transmitted wirelessly, impacting everything from radio broadcasting to modern data communication systems. By mastering these fundamentals, university students can gain a deeper appreciation of the technology that powers our connected world.
